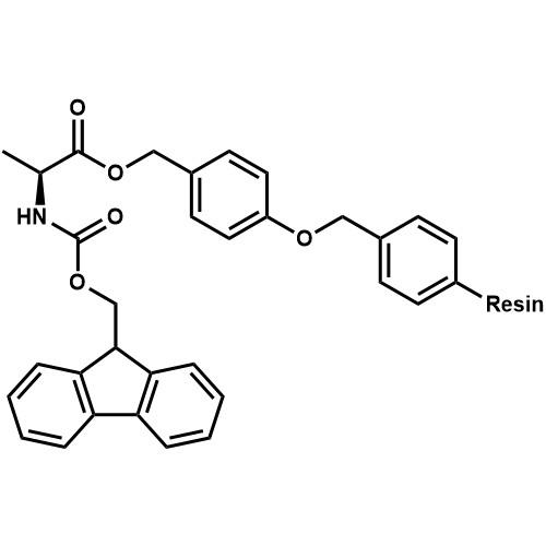
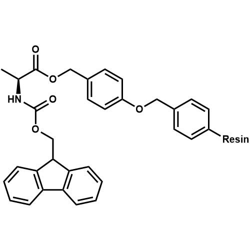
Products

Product information

Product code
K00550
Product name
Fmoc-Ala-Wang Resin
100-200mesh, 1%DVB
Full name
Fmoc-Ala-Alko Resin
MDL No.
MFCD00801224
PubChem SID
Storage conditions
KEEP DRY IN FREEZER
Specifications
Loading0.3-0.9mmol/g

Price

Size Unit price ($) Stock
1g 35 In stock (ship within 1-2 working days)
5g 113 In stock (ship within 1-2 working days)

Structure